他被公认为“众帅之帅” 是最晚被解密的“两弹一星”元勋!
他是中国工程院首任院长
为人低调
一生只专注于核武器研究这一件事
是23位“两弹一星”元勋中
最后被解密的一位
他与核“打交道”长达近半个世纪
是中国首枚原子弹研制的技术总负责人
是中国核武器研究领域公认的“众帅之帅”
他就是朱光亚

2011年2月26日
朱光亚因病溘然长逝
享年87岁
朱光亚魂归“朱光亚星”永耀苍穹!
今天
让我们一起致敬
这位深藏身与名的伟大科学家
↓↓↓
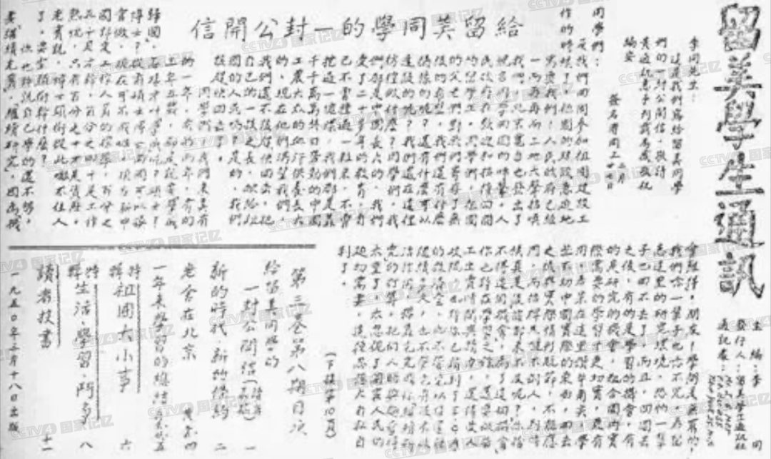
“……我们中国要出头的,我们的民族再也不是一个被人侮辱的民族了!我们已经站起来了,回去吧赶快回去吧!祖国在迫切地等待我们!”
这段铿锵有力的文字,出自著名的《给留美同学的一封公开信》。牵头组织起草这封公开信的,正是25岁的朱光亚。

早在1946年9月,朱光亚进入美国密歇根大学,一边作为吴大猷的助手做理论物理课题,一边攻读博士学位,学习的是与“原子弹之梦”最接近的研究领域之一,实验核物理。
就在这封信刊登于《留美学生通讯》之前,朱光亚已拒绝美国经济合作总署的救济金,登上了驶向新中国的“克利夫兰总统号”轮船。

回国仅4天,25岁的朱光亚就站在了北京大学物理系的讲台上。他是当时北大最年轻的副教授,主讲光学和普通物理。
1956年,新中国决定发展自己的原子能事业。这一年,朱光亚参与筹建中国科学院兰州物理研究室(中国科学院近代物理研究所的前身),担负起为中国培养第一批原子能专业人才的重任。

1964年10月16日15时整,大西北戈壁滩一道强光闪过,中国第一颗原子弹爆炸成功!望着腾空跃起的蘑菇云,朱光亚潸然泪下。当晚,一向少言寡语的他在庆功宴上酩酊大醉,这是他一生中唯一一次醉酒。
1967年6月,朱光亚参与组织领导的中国第一颗氢弹爆炸成功。从原子弹到氢弹,美国用了7年3个月,苏联用了6年3个月,中国只用了2年8个月!

1969年9月,朱光亚参与组织指挥的中国首次地下核试验取得成功,为核武器技术快速持续发展提供了有力支持。
在朱光亚的人生编年表上,出现最多的一句话是“主持某次核试验取得成功”。中国一共进行了40多次核试验,朱光亚曾30多次亲临现场。

1994年,朱光亚成为中国工程院首任院长。
1999年9月18日,朱光亚被国家授予“两弹一星”功勋奖章。直到这时,朱光亚才从幕后被推到台前,他的事迹渐渐为人们所知。
2004年12月,国际小行星中心和国际小行星命名委员会批准将我国国家天文台发现的、国际编号为10388号小行星正式命名为“朱光亚星”。

“我这一辈子主要做的就这一件事——搞中国的核武器。”朱光亚曾说,“可这件事情不寻常——那是惊天动地的一件事,改变世界的一件事!那是让中国人扬眉吐气、挺直脊梁的一件事!”









